Фрактал - это множество, обладающее свойством самоподобия. Формула фрактала - это степенная функция. С помощью фракталов можно описать природу - деревья и листья, береговую линию.
Фрактальная геометрия - это новая наука, которая может оказать существенную помощь во многих областях: медицина, биология, геология, физика, астрономия и даже электротехника.
Регулярные фракталы
Регулярные фракталы - это результат повторения одного алгоритма. Для регулярных фракталов свойство самоподобия выполняется строго.
1. Канторовское множество
Задаётся формулой L=1/3

Этот фрактал позволяет вычислить общую длину отрезков. Сумма длин отрезков равна 1 (подробнее в источнике внизу страницы.
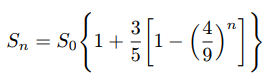
2. Кривая Коха
Кривая Коха позволяет вычислить периметр и площадь острова Коха.
Задавая число итераций, можно вычислить периметр и площадь фигуры по формулам:




3. Треугольник Серпинского
Салфетка Серпинского имеет нулевую площадь.

4. Ковёр Серпинского
Ковёр Серпинского - это канторовское множество на плоскости, так как здесь рекурсивно уменьшается длина стороны квадрата.

Трёхменый вариант канторовского множества - это фрактальная структура, которая называется губкой Менгера.
5, Пирамида Серпинского

6. Губка Менгера

7. Фрактал Мандельброта-Гивена

8. Решётка Бете или дерево Кейли

Стохастические фракталы
В природе часто встречаются случайны фракталы. Они отличаются от регулярных тем, что свойство самоподобия начинает выполняться только после усреднения статистических величин характеристик.
Источник:
Фракталы: от простого к сложному. Иудин Д. И., Копосов Е. В. 2021год.
https://nngasu.ru/unesco/resources/Fractals.PDF